微信在线咨询
| 产品编号 | 产品名称 | 产品包装 | 产品价格 |
| S0061S | 线粒体超氧化物检测试剂盒(MitoSO™ Red) | 20-200次 | 799.00元 |
| S0061M | 线粒体超氧化物检测试剂盒(MitoSO™ Red) | 100-1000次 | 3198.00元 |
碧云天生产的线粒体超氧化物检测试剂盒(MitoSO™ Red) (Mitochondrial Superoxide Assay Kit with MitoSO™ Red)是一种以MitoSO™ Red为荧光探针,快速灵敏地检测线粒体内超氧化物变化的试剂盒。本试剂盒可使用荧光显微镜、激光共聚焦显微镜、荧光酶标仪、流式细胞仪等荧光检测系统进行检测。
超氧化物通常指超氧化物阴离子(Superoxide anion) O2·-,是一种氧分子的自由基。在呼吸链中,NADPH氧化酶把电子传递给氧分子的时候,就会产生超氧化物阴离子O2·-。超氧化物阴离子O2·-是一种强氧化剂,可以由被刺激的白细胞等产生,从而抵御微生物的感染等。超氧化物阴离子O2·-也可以导致氧化损伤,和许多疾病的发生密切相关[1-3]。
MitoSO™ Red,简称MSR,也称MitoSOX Red、MitoROS、Mito-HE,分子量为759.7,分子式为C43H43IN3P,是一种新型的用于线粒体内超氧化物检测的荧光探针,其可快速、特异性地靶向线粒体,从而有选择性地检测线粒体内的超氧化物。MitoSO™ Red是带有阳离子三苯基磷酸基团的二氢乙锭衍生物。二氢乙锭(Hydroethidine, HE)可以被活性物质(如超氧化物)氧化为乙锭,然后与DNA结合产生荧光。MitoSO™ Red显示出同样的特性,可被超氧化物迅速氧化,但不被其它活性氧(Reactive oxygen species, ROS)和活性氮(Reactive nitrogen species, RNS)氧化,氧化产物结合核酸后,产生强荧光[4-6]。
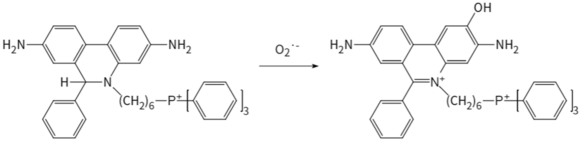
本试剂盒检测线粒体内超氧化物的原理如图1所示。MitoSO™ Red的磷酸基团上的正电荷被三个亲脂苯基包围,从而有助于其进入活细胞并选择性地靶向进入线粒体,最终可以被超氧化物氧化。被氧化的MitoSO™ Red与线粒体内核酸结合,产生强烈的红色荧光,MitoSO™ Red有两个激发峰,分别约为396nm和510nm,发射波长约为580nm。396nm的激发峰在其它活性氧(ROS)产生的乙锭类氧化产物的激发光谱中不存在,因此选择在396nm进行激发,可能对于线粒体超氧化物的检测更为特异[5-6]。
图1.碧云天线粒体超氧化物检测试剂盒(MitoSO™ Red) (S0061)检测原理图。
本试剂盒提供的MitoSO™ Red为5mM储存液。本试剂盒推荐的最终使用浓度经过优化,对大多数细胞都适用,但为了得到更满意的结果,对于不同类型的细胞请自行进行一定摸索,MitoSO™ Red的终浓度通常为1-5μM,最优先的推荐终浓度为5μM。过量MitoSO™ Red在线粒体积累会造成细胞损伤,因此MitoSO™ Red的工作浓度不能超过5μM,否则可能会产生细胞毒性,例如改变线粒体形态,MitoSO™ Red重新分布到胞核或胞质中等。同时,本试剂盒提供的mSoxUp作为诱导细胞线粒体内超氧化物生成的阳性对照,终浓度通常为0.5-2X,最优先的推荐终浓度为1X。使用本试剂盒检测细胞线粒体内超氧化物的效果参考图2和图3。
图2.碧云天线粒体超氧化物检测试剂盒(MitoSO™ Red) (S0061)检测L929细胞(小鼠成纤维细胞)线粒体内超氧化物的荧光显微镜效果图。L929细胞不处理或用阳性对照试剂mSoxUp处理后,使用本试剂盒和Hoechst 33342以及Mito-Tracker Green进行染色。正常的L929细胞中未氧化MitoSO™ Red,细胞中红色荧光非常弱,几乎观察不到红色荧光;使用诱导线粒体内超氧化物生成的阳性对照试剂mSoxUp处理后,线粒体内超氧化物生成增加,MitoSO™ Red与超氧化物反应并重新分布,与线粒体及细胞核DNA结合,细胞中线粒体及细胞核的红色荧光显著增强[7]。蓝色荧光为Hoechst 33342标记的所有细胞的细胞核。绿色荧光为Mito-Tracker Green标记的所有细胞的线粒体。本试剂盒中不提供Hoechst 33342和Mito-Tracker Green,如有需要,可向碧云天订购Hoechst 33342染色液(C1022-C1029)、Mito-Tracker Green (C1048)。实际检测效果会因实验条件、检测仪器等的不同而存在差异,图中效果仅供参考。
图3.碧云天线粒体超氧化物检测试剂盒(MitoSO™ Red) (S0061)检测L929细胞(小鼠成纤维细胞)线粒体内超氧化物的流式细胞术效果图。L929细胞不处理或用阳性对照试剂mSoxUp处理后,使用本试剂盒进行染色并进行流式细胞术检测。正常的L929细胞中未氧化MitoSO™ Red,细胞中红色荧光非常弱;使用诱导线粒体内超氧化物生成的阳性对照试剂mSoxUp处理后,线粒体内超氧化物生成增加,细胞中的红色荧光显著增强。分别通过PE (Ex/Em=561/585)和Violet610 (Ex/Em=405/610)通道进行检测,Violet610通道信号更强一些但对照组的背景信号也更强一些,此时可能具有更好的特异性。参考细胞的荧光照片,类似的PE (Ex/Em=561/585)通道进行检测,此时具有更好的信噪比。实际检测效果会因实验条件、检测仪器等的不同而存在差异,图中效果仅供参考。
本试剂盒小包装和中包装,MitoSO™ Red (5mM)按照1:1000的比例稀释,6孔板每孔检测体系为1ml时,可以分别进行20和100次检测;96孔板每孔检测体系为100μl时,可以分别检测200和1000次。
包装清单:| 产品编号 | 产品名称 | 包装 |
| S0061S-1 | MitoSO™ Red (5mM) | 20µl |
| S0061S-2 | mSoxUp (1000X) | 20µl |
| — | 说明书 | 1份 |
| 产品编号 | 产品名称 | 包装 |
| S0061M-1 | MitoSO™ Red (5mM) | 100µl |
| S0061M-2 | mSoxUp (1000X) | 50µl |
| — | 说明书 | 1份 |
-20ºC保存,一年有效。MitoSO™ Red (5mM)须避光保存,-80ºC保存效果更好。
注意事项:BSA和酚红(Phenol red)对本荧光探针的检测有干扰,需避免。
对于特定细胞的检测,建议先进行预实验,以确定适当的荧光探针浓度和孵育时间。
荧光染料均存在淬灭问题,请尽量注意避光,以减缓荧光淬灭。
根据文献报道,MitoSO™ Red在与超氧化物反应后可能会重新分布,并与线粒体或细胞核DNA结合[7],因此可以观察到红色荧光集中在细胞核。
本试剂盒仅限于进行存活的细胞或组织的检测,不可用于固定或冻存的细胞或组织样品的检测。
荧光酶标仪检测时须使用适合荧光检测的黑板或白板,推荐使用碧云天BeyoGold™全黑96孔细胞培养板(FCP966)或BeyoGold™黑色透明底96孔细胞培养板(FCP965)。
第一次使用时请分装成小包装后-20ºC保存,以避免反复冻融。
本产品仅限于专业人员的科学研究用,不得用于临床诊断或治疗,不得用于食品或药品,不得存放于普通住宅内。
为了您的安全和健康,请穿实验服并戴一次性手套操作。
| 产品编号 | 产品名称 | 包装 |
| C1022 | Hoechst 33342 | 10mg |
| C1025 | Hoechst 33342染色液 | 10ml |
| C1026 | Hoechst 33342染色液 | 50ml |
| C1027 | Hoechst 33342活细胞染色液(100X) | 0.1ml |
| C1028 | Hoechst 33342活细胞染色液(100X) | 0.5ml |
| C1029 | Hoechst 33342活细胞染色液(100X) | 3ml |
| C1032 | Mito-Tracker Deep Red FM (线粒体远红外荧光探针) | 50/250μg |
| C1034 | Mito-Tracker Deep Red 633 (线粒体远红外荧光探针) | 50/250μg |
| C1035 | Mito-Tracker Red CMXRos (线粒体红色荧光探针,高纯度) | 50/250μg |
| C1048 | Mito-Tracker Green (线粒体绿色荧光探针) | 50μg |
| C2001S | 线粒体膜电位检测试剂盒(TMRE) | 100-1000次 |
| C2003S | 增强型线粒体膜电位检测试剂盒(JC-1) | >100次 |
| C2005 | JC-1 | 1mg |
| C2006 | 线粒体膜电位检测试剂盒(JC-1) | >100次 |
| C2008S | 线粒体膜电位检测试剂盒(Rhodamine 123) | 100-1000次 |
| S0033S | 活性氧检测试剂盒 | >100次 |
| S0033M | 活性氧检测试剂盒 | >500次 |
| S0060 | 超氧化物检测试剂盒 | 100次 |
| S0061S | 线粒体超氧化物检测试剂盒(MitoSO™ Red) | 20-200次 |
| S0061M | 线粒体超氧化物检测试剂盒(MitoSO™ Red) | 100-1000次 |
| S0063 | Dihydroethidium (超氧化物阴离子荧光探针) | 5mg |
| S0067-100μg | SOSG (单线态氧绿色荧光探针) | 100μg |
微信在线咨询

