碧云天线粒体超氧化物检测试剂盒(MitoNeoD)(S0062)检测L929细胞(小鼠成纤维细胞)线粒体内超氧化物的荧光显微镜效果图:
如何检测线粒体中的超氧化物阴离子?可利用碧云天的线粒体超氧化物检测试剂盒(MitoSO™ Red)(S0061)及新品线粒体超氧化物检测试剂盒(MitoNeoD)(S0062)进行检测,了解S0061产品详情可点击:线粒体超氧化物检测试剂盒上新。
MitoSO™ Red可与超氧化物反应然后与DNA结合产生荧光。有文献报道MitoSO™ Red在与超氧化物反应后可能会重新分布,并与线粒体或细胞核DNA结合[1],因此可以观察到红色荧光集中在细胞核。
碧云天最新的线粒体超氧化物检测试剂盒(MitoNeoD)上线。该试剂盒以MitoNeoD为荧光探针,快速灵敏地检测线粒体内超氧化物变化。与MitoSO™ Red相比,MitoNeoD定位更精准,仅线粒体呈现荧光强度变化。
化学信息
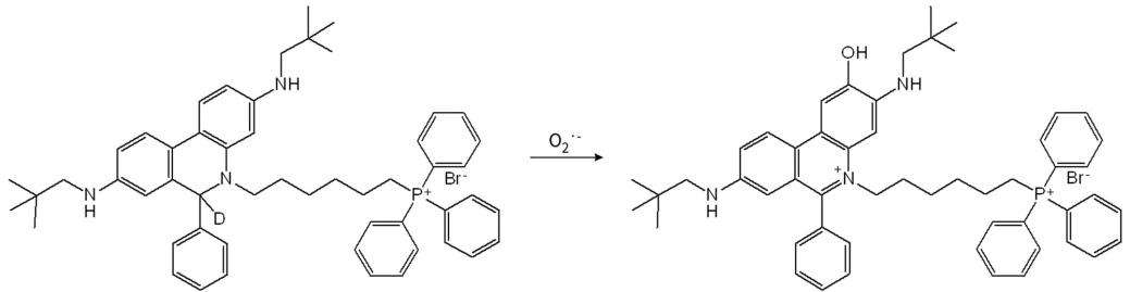
MitoNeoD,CAS号为2375088-89-2,分子量为853.99,分子式为C53H62DBrN3P,是一种可快速、特异性地靶向进入线粒体,从而选择性地检测线粒体内的超氧化物的新型荧光探针。
产品原理
MitoNeoD带有三苯基鏻亲脂性阳离子,可通过线粒体膜电位驱动探针在线粒体基质富集,促使其进入活细胞并选择性地靶向进入线粒体,MitoNeoD在线粒体内被超氧化物氧化为MitoNeoOH,并产生强烈的红色荧光。另外,MitoNeoD还可防止DNA嵌入并通过动力学同位素效应以提高其对O2·-的选择性,从而增强其对超氧化物的选择性。本试剂盒检测线粒体内超氧化物的原理如图1所示。
图1.碧云天线粒体超氧化物检测试剂盒(MitoNeoD)S0062)检测原理图。
发射光谱
呈现红色荧光,MitoNeoOH激发波长为544nm,发射波长为605nm。
产品特点
注意事项
参考文献
产品信息
| 产品编号 | 产品名称 | 包装 | 产品价格 |
| S0062S | 线粒体超氧化物检测试剂盒(MitoNeoD) | 20-200次 | |
| S0062M | 线粒体超氧化物检测试剂盒(MitoNeoD) | 100-1000次 |
相关产品
| 产品编号 | 产品名称 | 包装 | 产品价格 |
| S0033S | 活性氧检测试剂盒 | >100次 | |
| S0033M | 活性氧检测试剂盒 | >500次 | |
| S0035S | 活性氧检测试剂盒(CM-H2DCFDA) | 20-200次 | |
| S0035M | 活性氧检测试剂盒(CM-H2DCFDA) | 100-1000次 | |
| S0034S | 活性氧检测试剂盒(含稀释液) | >100次 | |
| S0034M | 活性氧检测试剂盒(含稀释液) | >500次 | |
| S0036S | 活性氧检测试剂盒(CM-H2DCFDA, 含稀释液) | 20-200次 | |
| S0036M | 活性氧检测试剂盒(CM-H2DCFDA, 含稀释液) | 100-1000次 | |
| S0038 | 过氧化氢检测试剂盒 | 150次 | |
| S0043S | 脂质过氧化检测试剂盒(BODIPY 581/591 C11) | 100-1000次 | |
| S0043M | 脂质过氧化检测试剂盒(BODIPY 581/591 C11) | 500-5000次 | |
| S0051 | 过氧化氢酶检测试剂盒 | 100次 | |
| S0060 | 超氧化物检测试剂盒 | 100次 | |
| S0061S | 线粒体超氧化物检测试剂盒(MitoSOX Red) | 20-200次 | |
| S0061M | 线粒体超氧化物检测试剂盒(MitoSOX Red) | 100-1000次 | |
| S0063 | Dihydroethidium (超氧化物阴离子荧光探针) | 5mg | |
| S0064S | 超氧阴离子活性氧检测试剂盒(DHE) | 100-1000次 | |
| S0067-100μg | SOSG (单线态氧绿色荧光探针) | 100μg | |
| S0131S | 脂质氧化(MDA)检测试剂盒 | 100次 | |
| S0131M | 脂质氧化(MDA)检测试剂盒 | 500次 | |
| S0021S | 一氧化氮检测试剂盒 | 500次 | |
| S0021M | 一氧化氮检测试剂盒 | 2500次 | |
| S0020S | 一氧化氮检测试剂盒(DAF-FM DA) | >100次 | |
| S0020M | 一氧化氮检测试剂盒(DAF-FM DA) | >500次 | |
| S0023 | 总一氧化氮检测试剂盒 | 50次 | |
| S0024 | 总一氧化氮检测试剂盒 | 200次 | |
| S3090 | 细胞与组织裂解液(一氧化氮检测用) | 100ml | |
| S0019S | DAF-FM DA (NO荧光探针) | >100次 | |
| S0019M | DAF-FM DA (NO荧光探针) | >500次 |